The Science of Cooking the Perfect Curry

The Science of Cooking the Perfect Curry

Whether you prefer a Masala or Madras, eat it once a month or twice a week, Brits can't resist a curry. Packed full of delicious flavours and authentic spices, the infamous dish has become increasingly popular in the UK and is now part of the nation's staple diet.Tilda Rice and the Perfect Curry

Perhaps the most essential component in Britain's favourite dish is Basmati rice- the one ingredient that can make or break your meal.

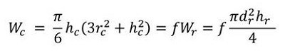
With Britain's ever growing love affair with curry and Diwali, a joyous occasion that brings the whole family together to eat, celebrate and exchange gifts, Tilda, the UK's favourite (No.1) Basmati brand, has commissioned Dr. Hadley from the Department of Physics at the University of Warwick to create a formula for the much desired perfect curry.

To demonstrate how to create the supreme curry (recipe below), 2010 UK Master Chef Winner, Dhruv Baker, has brought this scientific formula to life and will take us step by step through his very own ultimate curry recipe.

From the height of the rice to the thickness of the sauce, Dhruv will give you vital tips to make your curry sheer perfection, with layer upon layer of flavour, a hint of sweetness and just the right amount of heat!

The key to this formula is the Basmati rice. Inferior Basmati rice contains cheaper, broken grains which release starch and cook quicker, resulting in non- fluffy grains.

Tilda's Pure Basmati rice has been carefully milled and rejects broken grains, resulting in separate and long rice that is the perfect fluffy fit for your curry.Perfect Curry Science

In addition, the size of the meal is decided by the fork test, whereby the ideal curry has the ratio of 1:1:1- meat or vegetable; sauce; rice- in order for every forkful to include each of the key ingredients in equal measure, providing a delicious taste and texture combination.

By following the scientific formula, your Diwali meal will surely look and taste exquisite. Visit www.tilda.com for more information.

Dhruv's Perfect Chicken Curry

"For me, this is the perfect chicken curry. It has layer upon layer of flavour, bags of depth, a hint of sweetness and just the right amount of chilli heat. The beauty of this dish is that you can add more or less heat, you can tweak the spicing to your palate, you can add more tomato to make more sauce - in short you can make some small changes to make this your perfect curry. Serve with some perfectly cooked Basmati rice and if you really want, some extra side dishes but I honestly don't think you need them. Enjoy!"

You only need half the paste from the below recipe so freeze one half ready to use when you next fancy this delicious curry. If you have the paste ready-made then this dish is ready in 20 minutes.

Serves 4

Ingredients

  • 75g desiccated coconut
  • 2 x cinnamon stick
  • 2 x star anise
  • 3 whole dried red chillies
  • 1 tsp black peppercorns
  • 2 tsp fennel seeds
  • 100ml of water
  • 3 tsp coriander powder
  • 1/2 tsp chilli powder
  • 2 tsp turmeric powder
  • ½ tsp cinnamon powder
  • ½ tsp salt
  • 5 tbsp vegetable oil
  • 3 x red onions, finely chopped
  • 4 x cloves garlic finenly chopped
  • 2 x tsp grated fresh ginger
  • 6 x tbsp fresh curry leaves
  • 8 x tomatoes finely chopped
  • 500g boneless chicken thighs (skin removed)
  • 200ml water or chicken stock
  • 1 x small bunch fresh coriander finenly chopped
  • 1 x green chilli finely chopped (optional if you like it hot!)
  • A squeeze of lemon

Procedure

  1. Toast the coconut in a pan over a low heat, stirring until it turns golden brown.
  2. Remove the coconut on to a plate and into the same pan add the cinnamon sticks, dried chillies, peppercorns, star anise and fennel seeds.
  3. Roast in the pan for 3-4 minutes then add the ground coriander and chilli powder and stir for a minute.
  4. Add 100ml of water to form a paste and cook for two minutes.
  5. Remove the cinnamon sticks, star anise and whole chillies and keep for later.
  6. Add the toasted coconut, cinnamon powder, turmeric and salt to the pan.
  7. Add everything to a spice grinder or pestle and mortar and grind to a smooth paste.
  8. Heat the oil in the same pan and slowly cook the onions until they are soft - this will take about 10 minutes.
  9. Add the garlic and ginger and cook for a couple of minutes then turn up the heat and add the curry leaves and stir for a minute.
  10. Add the tomatoes and the spice paste, return the cinnamon stick, star anise and chilli to the pan and cook for five minutes, stirring until you end up with a smooth paste and the oil starts to separate out.
  11. Remove half the mixture and freeze or place in an airtight container which will keep in the fridge for a week or so.
  12. Add the chicken and cook, covered, for 10 minutes.
  13. Add 200ml chicken stock remove the lid and cook for a further 5-10 minutes until the chicken is cooked through.
  14. Remove the star anise, cinnamon and chilli, stir through the lemon juice and green chilli (if using) and scatter with the fresh coriander.

Contact Us

  • Phone: +44 (0) 1342 892 588
  • Email: info@kokovamagazine.com

Syndication